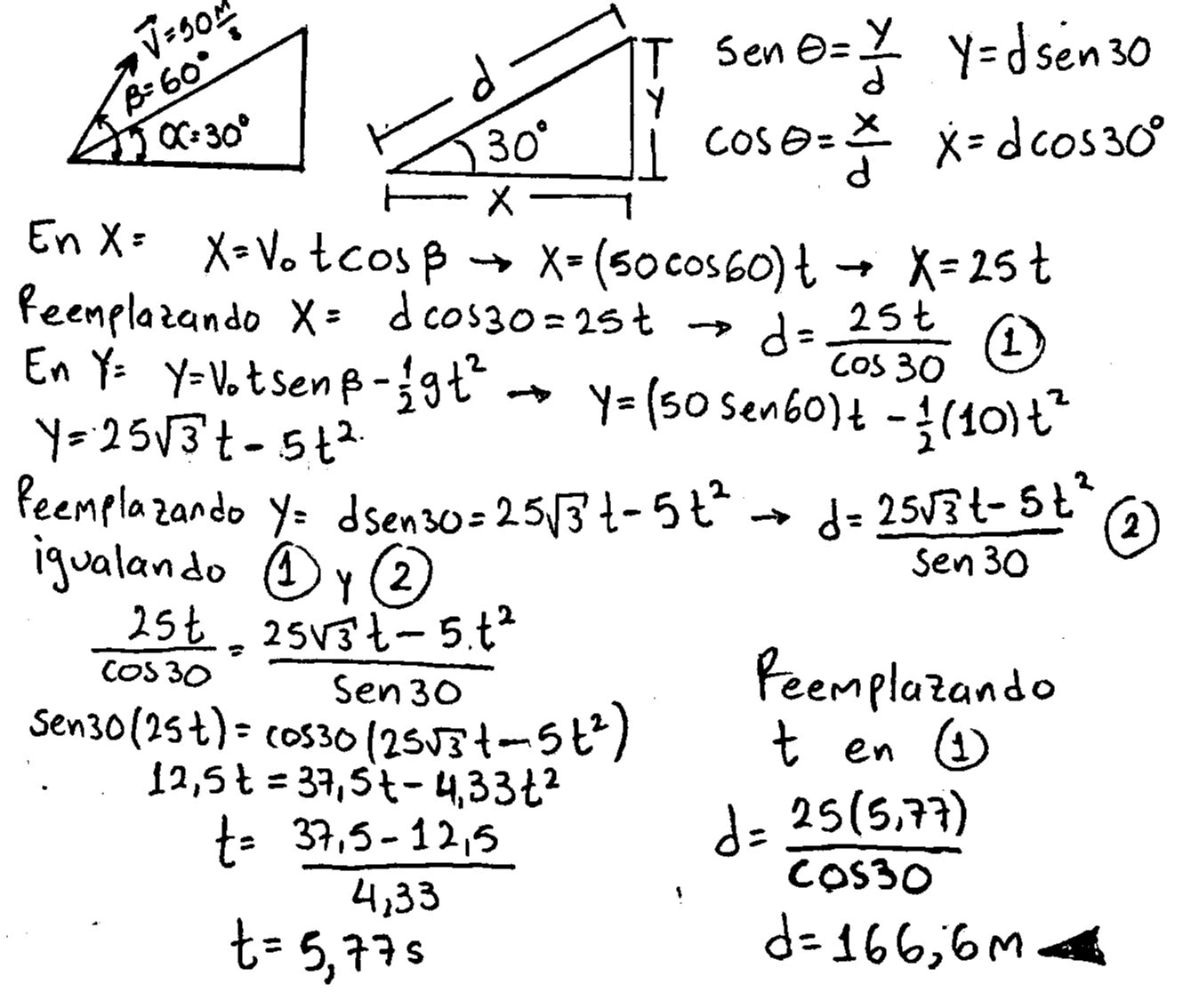
Un Proyectil Es Lanzado Con Una Velocidad Inicial De 400 M S Y Un ángulo De Elevación De 35. Un proyectil es lanzado con una velocidad inicial de 400 m s y un ángulo de elevación de 35 física 0 1735 usuarios buscaron estas tareas del colegio para responder el mes pasado y 77 lo están haciendo ahora mismo vamos a hacer tus tareas y deberes rápido. Un proyectil es lanzado con una velocidad inicial de 400 m s con un ángulo de elevación de 35 grados.
Un proyectil es lanzado con una velocidad inicial de 400 m s con un ángulo de elevación de 35. Un proyectil es lanzado con una velocidad inicial de 400 m s y un ángulo de elevación de 35 física 0 1735 usuarios buscaron estas tareas del colegio para responder el mes pasado y 77 lo están haciendo ahora mismo vamos a hacer tus tareas y deberes rápido. Un proyectil es lanzado con una velocidad inicial de 400 m s y un ángulo de elevación de 35.
Un proyectil es lanzado con una velocidad inicial de 400 m s con un ángulo de elevación de 35 grados.
Aprendizaje efectivo en grupo un proyectil es lanzado con una velocidad inicial de 400m s y un ángulo de elevación de 35 calcular. Un proyectil es lanzado con una velocidad inicial de 400 m s y un ángulo de elevación de 35 física 0 1735 usuarios buscaron estas tareas del colegio para responder el mes pasado y 77 lo están haciendo ahora mismo vamos a hacer tus tareas y deberes rápido. Un proyectil es lanzado con una velocidad inicial de 400 m s y un angulo de elevacion de 35 grados a el tiempo que dura en el aire b la altura maxima alcanzada por el proyectil c el ancanze horizontal del proyectil 2 un avion vuela horizontalmente con una velocidad de 800 km h y deja caer un proyectil desde una altura de 500 m respecto al suelo. Un proyectil es lanzado con una velocidad inicial de 400 m s con un ángulo de elevación de 35.
